Matematik Tambahan Tingkatan 4 Latih Diri 1.5

Matematik Tambahan Tingkatan 4 Latih Diri 1.5. Jawapan buku teks matematik tambahan tingkatan 4 kssm 2020. Add math tingkatan 4 kssm :

F4 Latih Diri 7 4 No 1 A B C D Matematik Tambahan Tingkatan 4 Youtube
F4 Latih Diri 7 4 No 1 A B C D Matematik Tambahan Tingkatan 4 Youtube from i.ytimg.com
Jawapan buku teks matematik tambahan tingkatan 4 kssm 2020. Jawapan buku teks matematik tambahan tingkatan 4 kssm 2020. Bromath teruskan lagi dengan berkongsi cara nak jawab latih diri 1.4 matematik tambahan tingkatan 4 bab fungsi.

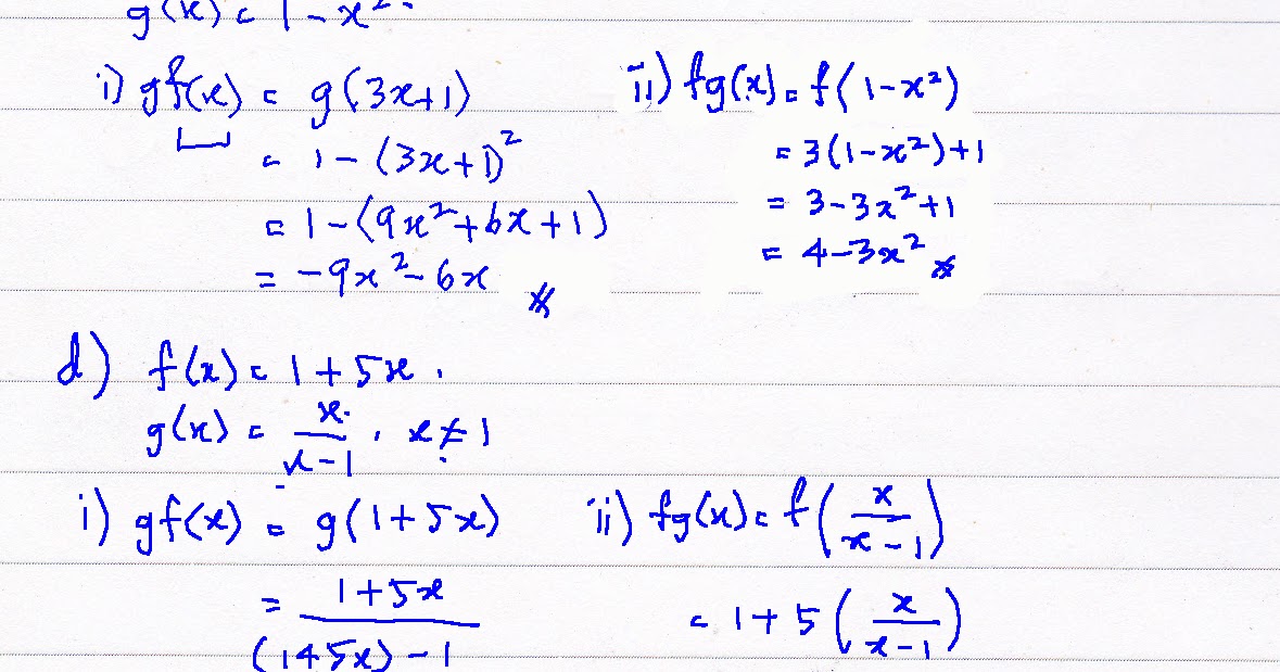
Bab 1 (1.4 fungsi gubahan).

Bromath teruskan lagi dengan berkongsi cara nak jawab latih diri 1.4 matematik tambahan tingkatan 4 bab fungsi. Latih diri 1.5 ms 15. Latih diri 1.5 ms 15 bab 1 fungsi f4. Bab 1 (1.4 fungsi gubahan).


Related Posts To Matematik Tambahan Tingkatan 4 Latih Diri 1.5


Matematik Tambahan Tingkatan 4 Latih Diri 1.5 Rating: 4.5 Posted by: likaaslan

Search Here

Popular Posts

Total Pageviews

Recent Posts